Efisiensi adalah amanat
konstitusi yang yang wajib dilakukan di dalam kegiatan usaha pengangkutan Gas
Bumi melalui pipa. Hal ini tertuang dalam konsideran menimbang huruf (e) pada
UU No.22 Tahun 2001, yang bunyi selengkapnya adalah sebagai berikut:
Bahwa
dengan tetap mempertimbangkan perkembangan nasional maupun internasional
dibutuhkan perubahan peraturan perundang-undangan tentang pertambangan minyak
dan gas bumi yang dapat menciptakan kegiatan usaha minyak dan gas bumi yang
mandiri, andal, transparan, berdaya saing,
efisien, dan berwawasan pelestarian lingkungan, serta mendorong
perkembangan potensi dan peranan nasional;
Salah satu variabel
penting yang mempengaruhi efisiensi pada kegiatan usaha pengangkutan Gas Bumi
melalui pipa adalah jumlah Ekuitas pada struktur modal yang digunakan untuk
investasi pembangunan jaringan pipa gas bumi.
Struktur modal
menurut Kennon (2010) adalah
prosentase modal yang ditanamkan pada suatu kegiatan usaha. Terdapat dua jenis,
yaitu modal sendiri (equity capital)
dan modal pinjaman (debt capital).
Alfred (2007) menyatakan bahwa struktur modal perusahaan menyiratkan proporsi
hutang (debt) dan ekuitas (equity) dalam struktur modal total
perusahaan. Pandey (1999) membedakan
antara struktur modal dan struktur keuangan dari suatu perusahaan dengan menegaskan
bahwa berbagai upaya yang digunakan untuk meningkatkan dana merepresentasikan
struktur keuangan perusahaan, sedangkan struktur modal merupakan hubungan
proporsional antara utang jangka panjang (long-term
debt) dan ekuitas (equity).
Struktur modal dari suatu perusahaan seperti yang dibahas oleh Inanga dan Ajayi (1999) tidak termasuk kredit jangka pendek (short-term credit), tetapi adalah
gabungan dari dana jangka panjang perusahaan (long-term funds) yang diperoleh dari berbagai sumber.
Penggunaan Debt Capital
dalam struktur modal perusahaan akan menurunkan tingkat IRR (Internal Rate of Return) yang
ditargetkan oleh perusahaan sebab Debt
Capital adalah jenis pendanaan yang beresiko rendah sehingga imbalan rate return-nya pun rendah. Kebalikan
dengan penggunaan Equity Capital,
modal ini mempunyai tingkat resiko yang lebih tinggi sehingga imbalan
rate-return-nya pun lebih tinggi.
Komisi Reguasi
Listrik Amerika Serikat (2011) menyatakan, beberapa sumber pendanaan yang
berbeda digunakan untuk modal perusahaan infrastruktur, dan komisi menetapkan
tingkat rates of return yang berbeda
untuk masing-masing sumber pendanaan (pemegang saham equity dan pemegang obligasi debt). Pemegang obligasi Debt menerima rate of return
yang lebih rendah dari pada pemegang saham Equity,
karena pemegang obligasi Debt
menanggung risiko yang lebih kecil; mereka memiliki hak pertama mendapatkan
pendapatan perusahaan setelah dikurangi biaya operasi, sebelum dividen
dibayarkan kepada pemegang saham Equity. Short-term
debt juga umumnya membawa suku bunga yang lebih rendah, karena pemberi
pinjaman tidak membuat komitmen jangka panjang terhadap perusahaan infrastruktur.
(Electricity Regulation in the US: A
Guide, 2011)
Gambar-1 berikut,
menjelaskan tentang resiko dan rate of
return terhadap Debt dan Equity. Perusahaan meningkatkan uang
untuk investasi dengan menerbitkan surat berharga. Sekuritas yang berbeda
memiliki klaim yang berbeda pada laba perusahaan, demikian pula terhadap
asetnya. Debt memiliki klaim senior (paling awal) pada sebagian
tertentu dari laba, sedangkan Common
Equity memilik klaim yang paling junior
(mendapat apa yang tersisa setelah orang lain telah dibayar). Oleh karena Equity menanggung risiko lebih tinggi,
maka pemegang saham menuntut rate of
return yang lebih tinggi dari pada Debt
(Edison Electric Institute, 2005)
Menurut Electricity Regulation in the US: A Guide 2011, struktur permodalan perusahaan listrik terdiri dari berbagai sumber pendanaan yang beragam yaitu: common equity, preferred equity, long-term debt, and short-term debt. Karena semua sumber pendanaan memiliki rate of return yang berbeda, maka penggunaan sumber dana campuran ini sangat mempengaruhi keseluruhan WACC (weighted average rate of return). Selain itu, karena perusahaan dikenai pajak penghasilan atas return on equity, dan memperoleh pemotongan pajak penghasilan untuk pembayaran bunga hutang, maka makin tinggi proporsi Equity mengakibatkan makin tinggi WACC yang pada akhirnya tarif penjualan listrik ke konsumen menjadi lebih tinggi. Oleh karena itu, Peraturan Komisi terhadap struktur modal merupakan elemen penting dalam perhitungan revenue requirement dari perusahaan listrik.
Secara umum,
perusahaan istrik di Amerika Serikat memiliki debt antara 40% -60%, dan equity
sekitar 40%-60%. Tidak ada kepastian yang benar terhadap level of equity di Canada, namun perkiraan equity
ratio disana adalah sekitar 30%-35%, yang mencerminkan kepercayaan investor
yang lebih tinggi dalam kepastian pendapatan perusahaan listrik, sehingga
perusahaan listrik dapat lebih mudah menarik bond investors dan
menggunakan cost of debt yang lebih
rendah dalam rangka menaikkan jumlah modal dari persentase debt yang lebih tinggi. Struktur modal yang disetujui oleh komisi
sering berbeda dari struktur modal yang sebenarnya dimiliki perusahaan listrik,
terutama bila perusahaan memiliki Equity
yang berlebihan dalam struktur modal. Dalam kasus ini, versi yang disetujui
oleh komisi disebut disebut sebagai hypothetical
or imputed capital structure (Electricity
Regulation in the US: A Guide, 2011)
Robert
H, Loeffler, Morrison & Foerster LLP, 2004 menyatakan,
perusahaan-perusahaan biasanya menggunakan Debt
Capital dalam jumlah yang besar
untuk membangun proyek pembangunan jaringan pipa gas bumi di Amerika Serikat.
Melihat kembali pendanaan proyek pipa gas bumi yang telah disahkan oleh Federal Energy Regulatory Commission
(FERC) dalam beberapa tahun terakhir, kita dapat melihat bahwa proyek-proyek
tersebut telah menggunakan Debt Capital
sebesar 70% sampai 80% dari total biaya konstruksi mereka. Dengan demikian, komponen
Debt pada struktur modal mereka akan
menjadi 70% sampai 80%. Konsekuensi praktis memiliki sebegitu banyak Debt dalam struktur modal mengakibatkan
tarif pengangkutan gas bumi melalui pipa yang ditetapkan oleh FERC menjadi
lebih rendah. Mengapa demikian, karena Cost
of Debt selalu lebih rendah dari Cost
of Equity. Data terakhir saat ini Cost
of Debt rata-rata untuk pembangunan jaringan pipa gas bumi adalah sekitar
8%, sedangkan Cost of Equity adalah
sekitar 13% sampai 14%.
Di masa lalu, jika
perusahaan pengangkutan gas bumi melalui pipa mengusulkan struktur modal dengan
100% Equity dan tidak menggunakan Debt (atau Equity Ratio yang sangat tinggi), staf FERC sering mengusulkan
penggunaan a hypothetical capital
structure dengan menurunkan proporsi komponen Equity dan menaikkan proporsi komponen Debt. Kami melakukan ini karena tarif yang dibayarkan oleh para
pengguna pipa gas bumi (shippers)
menjadi lebih mahal untuk investasi pipa gas bumi yang dibiayai dengan Equity. (Federal Energy Regulatory Commission, United State of America,
1999)
Untuk jaringan pipa
gas bumi baru yang telah teridentifikasi bahwa mereka akan menggunakan Debt untuk membiayai investasi mereka,
tapi belum benar-benar melakukan hutang,
kita menghitung Cost of Debt
berdasarkan proyeksi, atau data histori Cost
of Debt terbaru seperti rata-rata historikal Baa dari obligasi perusahaan
jaringan pipa gas (diperoleh dari Moody's
Bond Survey), yang merupakan peringkat yang paling umum untuk perusahaan
ipengangkutan gas bumi melalui pipa. Kami juga menggunakan Moody’s untuk menghitung Cost
of Debt apabila kita memutuskan penggunaan a hypothetical capital
structure. (Federal Energy Regulatory
Commission, United State of America, 1999)
Kasus penentuan hypothetical capital structure dari
suatu investasi yang menggunakan dana 100% Ekuitas
dilaporkan oleh Energy Law Jornal, Vol 8,
1987, sebagai berikut: SPPL (Southern
Pacific Pipe Line Inc) menyatakan kepada FERC bahwa pembangunan pipa gas
SPPL dibiayai sepenuhnya (100%) dengan dana Ekuitas oleh perusahaan induknya.
Meskipun perusahaan induk memiliki hutang (Debt)
dalam struktur modalnya, SPPL mengharapkan agar struktur modal perusahaan induk
tersebut tidak digunakan oleh FERC sebagai acuan struktur modal untuk
menentukan Tarif pengangkutan gas pada pipa gas bumi milik SPPL tersebut. FERC
berpendapat bahwa penggunaan 100% Ekuitas adalah tidak masuk akal dan Tarif
yang akan ditetapkan akan menjadi terlalu mahal bagi para shippers. FERC menyatakan bahwa struktur modal yang pantas dipakai
adalah sesuai dengan struktur modal perusahaan induk SPPL (Santa Fe Southern
Pasific Corporation) yaitu dengan Equity Ratio sebesar 78% (tujuh puluh delapan
persen). Bahkan beberapa anggota FERC menyatakan bahwa hypothetical capital structure yang pantas adalah 60% (enam puluh
persen) Ekuitas.
Dari kutipan-kutipan
pernyataan komisi regulasi listrik dan gas bumi di Amerika Serikat dan Kanada
sebagaimana telah disampaikan di atas, memberikan pengetahuan kepada kita,
meskipun negara-negara tersebut dikenal sebagai negara liberal yang
kapitalistik, ternyata justru lebih mementingkan kepentingan publik dari pada
kepentingan pemilik capital atau perusahaan, yaitu dengan membatasi penggunaan Equiy agar tarif pengangkutan gas bumi
bisa menjadi lebih rendah.
Point penting yang
dapat diperoleh dari kutipan-kutipan di atas adalah, jika suatu perusahaan
pengangkutan gas bumi melalui pipa dan juga perusahaan jaringan listrik,
menggunakan dana 100% (serratus persen) Ekuitas, maka baik FERC maupun
regulator listrik di Amerika Serikat, akan menggunakan suatu hypothetical capital structure dalam
menentukan harga listrik maupun tarif pengangkutan gas bumi melalui pipa di
Amerika Serikat
Hal ini seharusnya
juga diaplikasikan di Indonesia sebab secara konstitusional keberpihakan kepada
publik telah dinyatakan di dalam Pasal 33 Undang Undang Dasar Tahun 1945.
Demikian juga sesuai
dengan UU No 22 Tahun 2001 tentang Minyak dan Gas Bumi, yang dinyatakan dalam
konsideran “Menimbang huruf (e)” diamanatkan bahawa peraturan perundang-undangan
tentang pertambangan minyak dan gas bumi harus dapat menciptakan kegiatan usaha
minyak dan gas bumi yang efisien, maka pembatasan Ekuitas dalam kegiatan usaha
pengangkutan Gas Bumi perlu diatur di dalam Peraturan BPH Migas No.8 Tahun 2013
tentang Penerapan Tarif Pengangkutan Gas Bumi Melalui Pipa.
Untuk lebih jelas
melihat betapa pentingnya pembatasan Ekuitas terkait dengan efisiensi biaya
investasi, Tabel-1 dan Tabel-2 berikut, menunjukkan perbandingan antara bunga
bank dan cost of equity di Indonesia
lima tahun terakhir dalam mata uang USD.
Mencermati Tabel-1
dan Tabel-2, terlihat bahwa Cost of
Equity di Indonesia besarnya lebih dari dua kali lipat dibandingkan dengan
suku Bunga Pinjaman Investasi dari Bank Persero.
BPH Migas, sebagi regulator yang diberi kewenangan oleh
Undang-undang untuk mengatur kegiatan usaha pengangkutan gas bumi melalui pipa,
tentu harus menyadari bahwa pembatasan Ekuitas perlu dilakukan dalam upaya
mewujudkan kegiatan usaha pengangkutan tersebut menjadi lebih efisien.
Untuk
memperjelas pengaruh Ekuitas terhadap Tarif pengangkutan gas bumi melalui pipa,
alangkah baiknya jika diterangkan melalui sebuah studi kasus, sebagai berikut.
Sebuah pipa
transmsi gas bumi membutuhkan biaya investasi sebesar USD 160 juta. Pipa
transmisi gas bumi ini, akan mengangkut gas bumi dari sumber gas ke konsumen
dengan jumlah aliran sebesar 100 MMscfd.
Dalam
studi kasus ini, Tarif pengangkutan gas bumi pada pipa akan dihitung
berdasarkan beberapa skenario penggunaan Equity
Capital dan Debt Capital yang
berbeda-beda. Selain itu, dalam menentukan WACC (Weighted Average Cost of Capital) dan IRR (Internal Rate of Return), kita akan menggunakan data Cost of Debt dan Cost of Equity Tahun 2014.
Berdasarkan
asumsi-asumsi tersebut di atas, maka hasil perhitungan besaran Tarif dengan
berbagai scenario variasi Ekuitas, ditunjukkan pada Tabel-3. Dari tabel tersebut terlihat bahwa makin besar porsi Ekuitas makin mahal
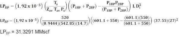
besaran Tarif-nya. Sebagai tambahan, Tabel-4 dijelaskan contoh rincian perhitungan
untuk skenario-8.
Mencermati
Tabel-3 tersebut, diperoleh gambaran bahwa penggunaan Ekuitas yang berlebihan
mengakibatkan Tarif menjadi mahal. Sebagai contoh, penggunaan Ekuitas penuh
100% menghasilkan Tarif sebesar USD 1.129/Mscf, sedangkan
apabila hanya mengunakan Ekuitas sebesar 30% maka akan terjadi penurunan tariff
sebesar USD 0.206/MMscf menjadi USD 0.923/Mscf.
Kesimpulan
Berdasarkan
hasil simulasi di atas, maka sudah sepantasnya pembatasan Ekuitas perlu diatur
di dalam Peraturan BPH Migas No.8 Tahun
2013 untuk mewujudkan kegiatan usaha pengangkutan gas bumi melalui pipa yang
lebih efisien, dan memberikan kesempatan kepada sumber dana eksternal seperti
Bank untuk ikut berpartisipasi lebih aktif dalam penyediaan dana untuk
pembangunan infrastruktur jaringan pipa gas bumi nasional. Dengan demikkian
fungsi BPH Migas untuk menciptakan efisiensi kegiatan usaha pengangkutan gas bumi melalui pipa. Semoga.....


















